Skip to main content

Faculty of Communication Midterm Exam Schedule [Spring 2026]

Dear Students,

You may find the link to the Spring 2026 Midterm Exam Schedule below.

  1. Department of Journalism
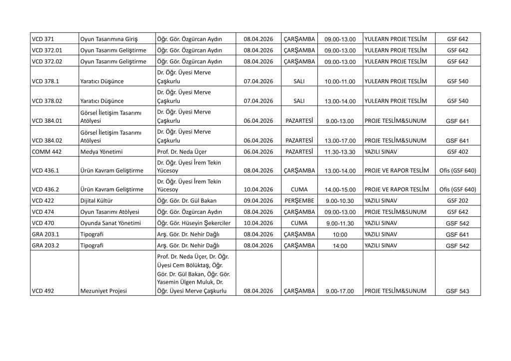
  2. Department of Visual Communication Design - First Page / Second Page
  3. Department of Public Relations and Publicity
  4. Department of Radio, Television and Cinema
  5. Department of Advertising Design and Communication

We extend our best wishes for success in your upcoming exams.